Introduction
Il direzione importantenella diagnostica delle vibrazioni motori a turbina a gas aviazione e turbomacchine è diagnostics attraverso la modellazione. Modellazione dà l'opportunità di collegare la presenza di alcuni tipi di difetti dell'apparecchio con i segni della sua presenzanel segnale di vibrazione. Uno di tali difetti è comparsa fessura alberi dei motori per aviazione e turbomacchine che è inammissibile. Così il più importante compito del sistema diagnostico è quello di rilevare crepanel tempo e prevedere il suo progresso.
Appearance dei crepanei risultati del rotore in diminuzione rigidità locale. Valore della perdita di rigidità dipende dalle caratteristiche geometriche di crack. Se viene applicato un carico statico come forza peso, crepa apre e si chiude, mentre il rotore sta ruotando. Di conseguenza, la rigidità dell'albero cambia per un ciclo. Crepanelle derivazioni sistema rotore verso le following variazioni di segnale vibrazionale [1]:
·Aumenta in ampiezza di 1x armonica della velocità di rotazione a causa della crescita di flessione statica causata dalla diminuzione rigidità.
·appearance 2x componente della velocità di rotazione dovuto alla rigidità del rotore asimmetrico.
·appearance di componente 3х della velocità di rotazione a causa dell'apertura e chiusura ciclica della fessura.
Il compito principale del modello matematico è la descrizione del valore e legge del cambiamento localenella rigidità in
luogo where crepa avviene considerando il maggiornumero possibile di fattori.
Ci sono diversi approcci alla crepa simulazione. Nella più semplice casi fessura viene simulata dalla riduzione della rigidità radiale dell'intero dell'albero [2,3,4]. Negli altri casi la parte dell'albero, where crepa avviene, è soste d da un elemento a trave equivalente. Coefficienti di matrice di rigidezza di tale elemento vengono determinate crepa in considerazione e cambio per un ciclo. Nel lavoro [5] calcolo della matrice di rigidezza dell'elemento fascio con la crepa si basa sull'uso di momenti di inerzia della sezione della trave considerando crepa. Nel lavoro [6] matrice di rigidezza tale elemento è calcolato sulla base delle equazioni di meccanica di distruzione di corpi solidi. Crack può essere simulato da collegamento elastico che collega le sezioni di contorno dell'alberonel luogo della sua posizione e dando il crack momento rigidità [7,8].
Modifica in crack rigidità a seconda della sua apertura e chiusura, mentre il rotore sta ruotando può essere descritto matematicamente in modi diversi. Nel caso più semplice si può assumere che crepa ha solo due posizioni: completamente opened o completamente chiusa, e funzione a gradino può essere applicata per descrivere il cambio rigidità matematicamente [4].
Flusso di lavoro [3] descrive i maggior parte dei modelli di diffusione di cambiamento rigidità. Uno di loro è l'equazione Gasch. Cambiamento
in rigidità avviene a seconda dell'angolo tra fase di forza statica e della fase crepa e descritto da 17 armoniche della serie di Fourier. Lo stesso articolo fornisce Maes&Davies equazione where rigidità cambia a seconda dell'angolo secondo la legge del coseno. Nel modello Yang rigidezza cambia di coseno in grado di profondità crepa relativa.
Questo articolo sviluppa un modello a fessura in base \\ approccinexisted e presenta anche la metodologia che dà la possibilità di segni di evidenziazione utilizzati per rilevare la sua condizione per il rotore esatto.
I algoritmo è inclusonel programma software Dynamics R4 [9], che rappresenta la dedicato
system sul calcolo del comportamento dinamico di sistemi complessi di rotore.
modelloCrack
within concezione simulazione accettata, crepanel modello albero viene sostituito da un collegamento elastico dividendo l'albero in due sezioni e descrivendo dalla matrice di rigidezza con variabile coefficienti. Senon c'è crepa, Stato compatibilità deformazione tra le parti degli elementi dell'albero è compiuto, così tutti gli spostamenti relativi sono proibite. Si introduce il sistema di coordinate rotante ηOε giacenella zona fessura, Figura 1. Le coincide origine con l'origine del sistema di coordinate fisso XYZ. L'albero esegue due movimenti - corretta rotazione e precessione intorno all'asse Z. Nel descrivere crepa consideriamo solo rotazione attorno η e ε assi. Gli spostamenti in altri gradi di libertà sono trascurati.
sezione
figure 1. Crack
matrice Flexibility del collegamento simulando crepanel sistema di coordinate rotante può essere scritta come following:
wher &101;# q j=a- differenza di fasi,- j angolo di rotazione dell'albero,- a angolo di precessione;- gee (q) e ghh (q )variabile- coefficients del momento flessibilità.
Flexibility dipende dall'angolo qin quanto mentre l'albero sta ruotando, crepa si apre e si chiude. matrice di rigidezza è ottenuta mediante inversione della[GR(q)]matrix, e zero coefficienti di flessibilità della struttura il principale vantaggio diagonale all'ottenimento di coefficienti di rigidezza tende all'infinito. Limitiamo valore di tali coefficienti di rigidezza da 1е10 Nm; questa ipotesinon influenza significativamente il risultato, cioè otteniamo/
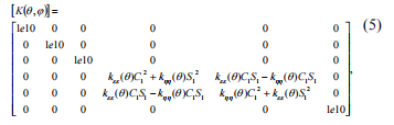
matriceStiffness viene trasformatonel sistema di coordinate fisso utilizzando la seguente equazione:
wher &101;#[T]matrice di rotazione (4),wher-&101;#C1=\\ sottufficiali (j),S1=SIN (j)
Moltiplicare matrici in corrispondenza con l'equazione (3) si ottiene:.
Realizziamo alcune trasformazioni che danno possibilità di passare alla descrizione più semplice della fessura \\ matricenstiffness e l'algoritmo dei suoi coefficienti otteni-. In corrispondenza con il modello Maes, è potrebbe presumere che la flessibilità radiale del fascio circolare con variazioni crepa dal minimo al valore massimo dalla legge del coseno.
wher 101; &g#0flessibilità del fascio senza fessura (valore minimo),GC-flessibilità del fascio con aperta-crack (valore massimo).
Siamo sostituire fessura mediante una cerniera con momento rigidità k Initm h . Le condizioni al contorno del fascio dovrebbero fornire il suo \\ definabilitynstatical come mostratonella Figura 2.
figure 2 . Sostituzione di crepa da cerniera
wher 101; E&#modulo di Young,I-diametrale momento d'inerzia della sezione dell'albero,k-Init MH - coefficiente di rigidità momento di un collegamento equivalente corrispondente a fessura completamente aperta.

Titolo di lavoro: Product manager
Dipartimento: Market Department
Telefono aziendale: +86 021-59150215
E-mail: Contattaci
Cellulare: +86 13817160919
Sito web: lanzhusuperalloy.itvipb2b.com
Indirizzo: No. 2800 Caoxin Road, Xuhang Town, Jiading District, Shanghai