Figura 4. Dipendenza temporale della costante reticolare matrice, acquisita dalle misurazioni in situ XRD a 700 ◦ C. Abbiamo osservato una diminuzione monotonic a del parametro reticolo, che indica che elementi pesanti come Nb e Mo si disperdono gradualmente dal solido-matrice di soluzione e contribuire alla nucleazione e alla crescita della fase δ L'incertezza riportata in questa figura e qui di seguito si tratta di un'indicazione standard, salvo diversa indicazione.
Inoltre, la modifica del parametro reticolo matrice di un solido-lega di soluzione è associata alla portata della precipitazione [40]. In AM IN625, la differenza nei parametri di matrice reticolo prima e dopo un 10 h trattamento termico ad 870 ◦ C era ≈ 0.0042 Å [21]. In confronto, il parametro reticolo modificato da ≈ 0.0015 Å dopo un trattamento termico 10.5 h a 700 ◦ C, che suggerisce significativamente meno precipitazione della fase_;a questo temperatoure.
IN625, come progettato, è un singolo-siero di lega di fasee la forza deriva principalmente dal rafforzamento della soluzione solida da Mo, Nb e Cr [1]. Frumentoe Dato che la riduzione di Mo e Nb dalla matrice dovrebbe ridurre la resistenza, la formazione di precipitazioni può compensare questa riduzione e aumentare la forza complessiva di IN625. Per esempio, la Wruught IN625 raggiunge la sua durezza massima dopo un trattamento termico 170 h a 700 ◦ C, che èprincipalmente a causa della precipitazione del γ” fase, precursore della fase δ [41]. Analogamente, anche la precipitazione della fase_;aumenta la forza complessiva e riduce la duttilità [37]. Per l'AM IN625 è necessaria e necessaria una valutazione sistematica dell'effetto del trattamento termico sulle proprietà meccaniche di una serie di temperature....
Durante il trattamento termico, la cellula unit à della fase δ cambia anche. La figura 5 illustra questo cambiamento. Tra i tre parametri ortorombi del reticolo (figura 5a c), due sono quasi costanti ≈ 5.108 e; ≈ 4.232 Å, rispettivamente. Il terzo parametro reticolo mostra un aumento monotonico da ≈ 4.482 a ≈ 4.488 Å È noto che l'asse lungo della fase δ si allinea con la chiusura-le direzioni imballate della matrice FCC e gli orientamenti cristallografici tra la matrice FCC e la faseseguono {111}FCC//(100)948;e FCC//[100]δ [10]. Sulla base di questo, deduciamo che la diffusione di Nb e Mo è anche direzionale. Dal momento che la diffusione di Mo dalla matrice alla fase_;si verifica più lentamente di quella di Nb [42], questa diffusione direzionale può portare a un cambiamento nella chimica di fase δ e ad un aumento del volume delle cellule unit à, come mostrato nella figura 5d.
Figura 5. (a–c) Dipendenza temporale dei tre parametri reticoli dei precipitati di fase_, acquisiti dalle misurazioni in situ di XRD a 700 ◦ C. (d) Il volume della cella unit à della fase δ precipita...
In situ dati SAXS ottenuti con lo stesso volume di campione durante il trattamento termico isotermico forniscono anche una finestra per sondare la cinetica di trasformazione statisticamente significativa del materiale s microstruttura. Figura 6 mostra il set di dati completo, con i dati USAXS come la stampa principale e i dati SAXS visualizzati nell'inset. Per coerenza, i dati di dispersione sono di colore-codice utilizzando la stessa scala di colore dei dati XRD nella figura 3. I dati di dispersione hanno tre caratteristiche notevoli. Primo, per il basso-q parte dei dati di dispersione ( ≈ 1 × 10 − 4 Å − 1 a ≈ 4 × 10 − 4 Å − 1), abbiamo osservato un potere-la pendenza della legge che non cambia in funzione del tempo. Attribuiamo questa caratteristica al grano che è simile al lavoro precedente su Ni-superleghe basate [21,43] e alluminio leghe [44,45]. La crescita del grano in IN625 è minima per temperature al di sotto di 900 ◦ C [46]. Di conseguenza, la dispersione di grano dovrebbe essere stabile, che è coerente con le osservazioni sperimentali. In secondo luogo, abbiamo osservato un aumento monotonico dell'intensità di dispersione tra ≈ 4 × 10 − 4 Å − 1 e ≈ 0.01 Å − 1,in particolare con due regioni guinear vicino a 2 − 3 Å − 1 e 8 × 10 − 3 Å − 1, rispettivamente. Dal momento che i dati in situ XRD e le immagini SEM ex situ mostrano solo le precipitazioni di fase┐ attribuiamo questo segnale di dispersione alla fase δ Precedenti studi microscopici hanno stabilito che i precipitati di fase_sonopiastrine con due dimensioni caratteristiche [10,21,47], che sono d'accordo con l'osservazione di due regioni guinear nei dati di dispersione. Infine, i dati SAXS indicati nell'inset sono semplici estensioni dell'alta potenza q-la pendenza della legge nei dati USAXS; Per esempio, i dati SAXS non contengono ulteriori informazioni, il che indica che nessun nm aggiuntivo-precipitazioni di dimensioni formate durante questo trattamento termico.
Figura 6. Dati in situ SAXS di AM IN625 acquisiti durante il trattamento termico isotermico a 700 ◦ C per 10.5 h. L'area principale e l'inset mostrano rispettivamente i dati USAXS e SAXS. Il tempo di acquisizione è colore-codice seguendo la freccia temporale. L'intensità USAXS è tagliata-spalmato...
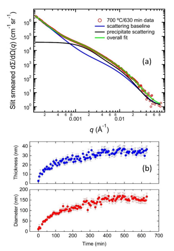
Abbiamo costruito un modello di dispersione per descrivere i dati di dispersione basati su queste osservazioni, come illustrato nella figura 7a. Per esempio, utilizzando i dati USAXS acquisiti a 630 min nell’esperimento in situ, questo modello è costituito da due componenti. Il primo componente è il basale di dispersione, che si ottiene sullo stesso volume di campione a temperatura ambiente prima del trattamento termico. Il secondo componente rappresenta l'eccesso di dispersione derivante dalle precipitazioni della fase δ Come stabilito in precedenza [21], abbiamo descritto questa dispersione in eccesso utilizzando un approccio di analisi analogo al metodo unificato di dispersione del piccolo angolo con due livelli di dispersione [48]. Insieme, questi due-il modello di componente descrive bene i dati SAXS in situ attraverso l'intera sequenza di dati...
Figura 7. a) Un'illustrazione del modello SAXS utilizzato in questo lavoro. I dati sono stati raccolti alla 630 min durante il trattamento termico a 700 ◦ C. La dispersione del sovrabbondante comprende due parti: (1) basale di dispersione e (2) dispersione eccessiva dalle precipitazioni della fase δ b) Il tempo-evoluzione dipendente del diametro medio (dimensione maggiore) e dello spessore (dimensione minore) delle precipitazioni della fase...

Titolo di lavoro: Product manager
Dipartimento: Market Department
Telefono aziendale: +86 021-59150215
E-mail: Contattaci
Cellulare: +86 13817160919
Sito web: lanzhusuperalloy.itvipb2b.com
Indirizzo: No. 2800 Caoxin Road, Xuhang Town, Jiading District, Shanghai