Calcolazione e composizioni di fase misurate: le composizioni del c-e c-phase (&cc e cc&)nelle quattro leghe investigate sono state misurate con 3D apt (ERBO 1) [36] e con TEM-edx (ERBO 15 e derivati) [32]. I risultati sperimentali per le due fasi sono presentatinelle tabelle 7 (c-phase) e 8 (fase c-&). Tabelle 7 e 8 contengono anche previsioni termocalc ottenute per temperature a 1143 K (temperatura della seconda fase di trattamento delle precipitazioni per tutte le leghe), a 1413 K e 1583 K (ERBO/1; temperatura della prima fase di trattamento delle precipitazioni e l'omogeneizzazione, rispettivamente) ea 1313 K e 1583 K (varianti ERBO/15, temperatura della prima fase di trattamento delle precipitazioni e l'omogeneizzazione, rispettivamente). Poiché la c-phase presenta una frazione di volume più piccola rispetto alla c-phase, le modifichenella sua composizione chimica&sono più pronunciate. In fichi. 10 e 11, abbiamo composizioni presenti per il c-phase dalla tabella 7 come grafici a torta. La figura 10 mostra i dati sperimentali, che sono stati misurati in tutte le quattro leghe di calore-treated prima di creep. Le previsioni termocalc ottenute per le c-fasi di ERBO/1 (1143, 1413 e 1583 K) e per ERBO/15 (1143, 1313 e 1583 K) sono presentate in Fig. 11.
i dati presentatinella tabella 7 enella figg. 10 e 11 (c phase) enella Tabella 8 (c phase, dati presentati senza grafica) mostrano che le temperature crescenti causano aumentare quantità di TI, AL e TA e simultaneamente diminuire quantità di CR, CO, W e RE per ERBO-1nella c-phase. Come si può vederenei risultati Thermocalc presentati in FIG. 11, la quantità dell'elemento base Ni sta aumentando con la temperatura crescente in ERBO&1. Al contrario, diminuisce con la temperatura crescente in ERBO/15.the-// --&/
//&#/-Gasi per il c-e la c/fases in-Tabella 7 (e figure 10 e 11) e tabella 8, rispettivamente, mostra ulteriormente che i dati del termocalco per 1143 K (la temperatura del trattamento degli ultimi precipitativi delle leghe sperimentali) e i dati determinati sperimentalmentenon sono in pieno accordo ma ragionevolmente vicini l'uno all'altro per entrambi i sistemi in lega. Solonel caso di ERBO-15, l'elemento MO mostra un valore significativamente più bassonel calcolo a 1143 K (1,0 in%) rispetto all'esperimento (4.4at.%).-
1 e ERBO
101; come i risultati per le varianti ERBO
15 più snella per C11 e C12 cadono leggermente brevi. Ciònon influisce in modo significativo dei moduli elastici e \\ 100 [, che tutti sono molto vicini (figura 6D). Come si può vederenella Tabella 9, gli elementi in lega individuale di SX differiscono di dimensioni, struttura cristallina, moduli da giovane, elettronegatività e punto di fusione [48-51]. La figura 6D mostra che i cambiamentinella chimica in lega consideratinel presente lavoronon influenzano fortemente le proprietà elastiche. Questo è in linea con le conclusioni disegnate da Demtro¨der et al. [41], Chi ha dimostrato che anche le variazioni più grandi delle composizioni alleghe che consideratenel presente lavoronon influiscono fortemente sulle proprietà elastiche di SX. Il comportamento elastico di un singolo cristallo riflette direttamente l'anisotropia del suo sistema di legame. Quest'ultimo è principalmente controllato da tipo,numero e disposizione spaziale dei contatti
base SX (comprese microstrutture-)nonché le loro principali composizioni chimiche ([62 a.&% NI, [11 a.-% AL) differiscono solo leggermente, le interazioni sono dominati da contatti Ni-Ni e Ni-AL, portando a solo piccole variazioni delle rigidità elastiche macroscopiche [42].-
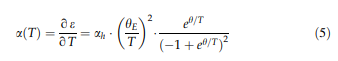
-Thermal Expansion e Csolvus Temperature
: l'espansione termica è associata alla tendenza di un materiale per modificare il suo volume con la temperatura crescente. In un cristallo, questo è associato ad una crescente energia vibratoria degli atomi e della formanonharmonica del potenziale del reticolo. Secondo la relazione di GRU¨Neisen, Aðtþ è proporzionale alla capacità termica; Pertanto, il ceppo termico Eðtþ può essere
-ndscribed da un modulo integrato del modello Einstein [52, 53]:
E0 rappresenta il ceppo iniziale a 0 k, AH denota il limite di alta

Titolo di lavoro: Product manager
Dipartimento: Market Department
Telefono aziendale: +86 021-59150215
E-mail: Contattaci
Cellulare: +86 13817160919
Sito web: lanzhusuperalloy.itvipb2b.com
Indirizzo: No. 2800 Caoxin Road, Xuhang Town, Jiading District, Shanghai